近期,国际学术刊物《美国化学会志》(JACS)报道了365英国上市集团官网化学与分子工程学院晏琦帆副研究员课题组与北京大学赵达慧教授课题组合作,题为“Concurrent Cooperative J‑Aggregates and Anticooperative H‑Aggregates”的研究论文。(原文链接:https://pubs.acs.org/doi/10.1021/jacs.8b01463)。
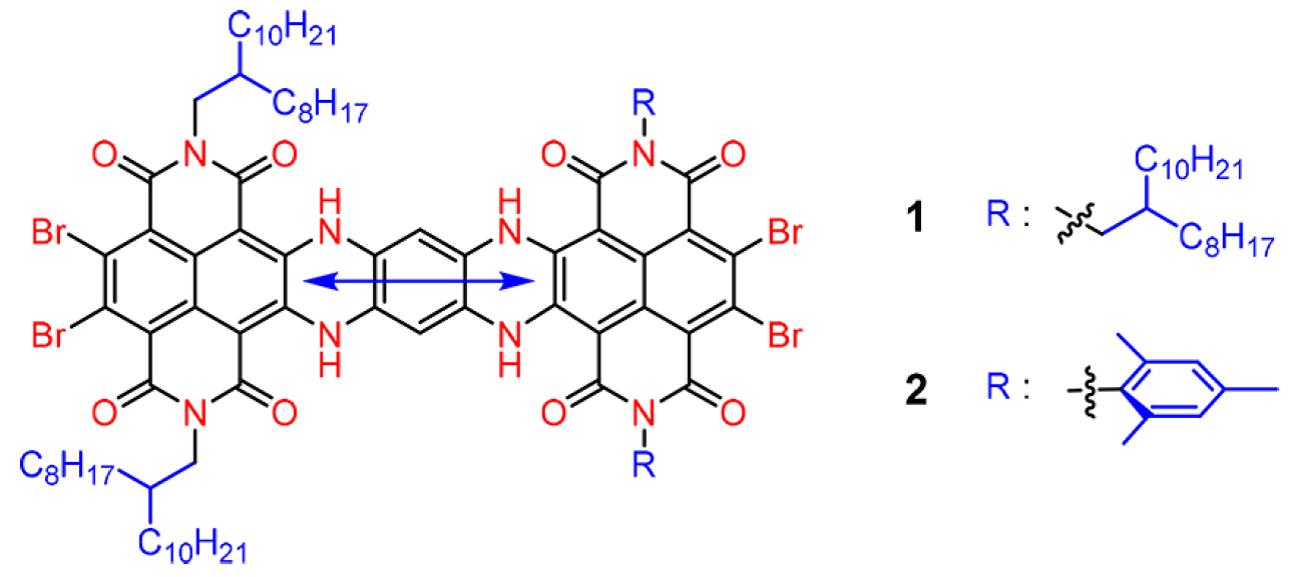
对复杂体系的超分子自组装机理的研究和理解可以有效的帮助化学家构建功能化超分子自组装体系。在这篇文章中,作者系统研究了氮杂多环芳香酰亚胺分子1的超分子自组装行为。化合物1可以同时通过两种不同机理,形成两种具有不同热力学特征的两种超分子自组装结构。作者发现通过调控溶剂的极性和溶液的温度,在中等π-π堆积驱动力强度下,化合物1会通过反协同机制(anticooperative)形成H-聚集体;当π-π堆积驱动力进一步增强时,H-聚集体会通过协同机制(cooperative)转化为J-聚集体。

作者建立了能够模拟两种聚集路径的数学模型模拟了分子1的自组装行为。模拟的结果和实验结果高度吻合,数学模拟还揭示了三个重要结论:一、反协同(anticooperative)机制自组装倾向于形成超分子低聚物(supramolecular oligomers),而协同机制(cooperative)自组装倾向于形成高分子量的超分子聚合物(supramolecular high polymers)。二、如果在一个体系中两种机制共存并竞争,通过协同机制形成超分子高聚物的过程会被延后:具体到化合物1的体系中,就会观察到两种形式的聚集体依照聚集程度的强弱先后出现的现象。三、通过分析化合物1的数学模拟结果,如果能够通过化学修饰使得H-聚集体的形成变得困难,就可以只出现协同机制形成J-聚集体。

基于这样的假设,作者设计并合成了化合物2。通过2,4,6-三甲基苯基的引入,使得化合物2难以形成H-聚集体,只能通过协同机制形成J-聚集体。这个结果验证了作者对于这个复杂体系的超分子自组装理解的正确性。对于理性设计复杂超分子自组装体系,控制自组装结构都有重要意义。
该论文以“365英国上市集团官网”为第二通讯单位,该论文工作得到了国家自然科学基金委项目的支持。